초음파 빔을 집속시켜 대상에 조사하면 대상의 표면과 내부의 재료 특성에 따라서 반사파과 투과파가 발생하는데, 이 초음파들의 미세한 변화를 계측하여 화상으로 나타내는 것을 초음파 현미경이라고 합니다. 초음파의 종파의 펄스반사법(pulse-echo methode)를 활용한 초음파 검사기의 이미징 모드는 크게 A-SCAN, B-SCAN, C-SCAN으로 구성되어있습니다. 각각의 이미지는 검사대상에 대한 서로 다른 정보를 제공하는데 오늘은 이에 대해 자세히 알아보겠습니다.
1. A-Scan
A-Scan 이미지는 오실로스코프의 파형을 보여주며, 물체 내부의 초음파 이미징을 생성하고 해석하는 기초가 됩니다.
이는 진폭,펄스의 극성, TOF(Time of Flight/조사한 초음파가 표면, 층, Defect에 반사되어 트랜스듀서로 다시 돌아오는 시간) 데이터가 사용됩니다.

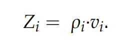
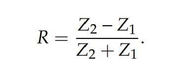
반사되어 돌아오는 초음파의 정도를 뜻하는 진폭(Echo Amplitude)은 검사대상을 구성하는 각각의 물질의 음향임피던스로 결정되는 반사계수 R로 계산할 수 있습니다.
(1)

(매개물질 내 밀도 * 음향 속도)
(2)

(음향임피던스의 변화가 있을 때의 반사계수)
또한 반사되어 돌아온 펄스의 TOF를 통해 layer, defect의 depth 데이터를 확인할 수 있습니다.
(3)

(c : 물질의 음향 속력)
A-Scan 에서의 첫번째 신호는 일반적으로 검사대상의 표면에서 반사되어 들어옵니다.
그리고 입사된 초음파 빔이 다른 매개물질을 만났을 때 반사파가 생성되어 두번쨰 신호를 생성합니다.
또한 두번째 layer 내에 위치한 결함에 도달했을 때 또한 음향 속도와 밀도가 변화하므로 defect 영역에서 세번째 반향 신호를 생성합니다.
마지막으로 검사대상의 바닥면에 도달했을 떄 4번쨰 신호를 생성합니다.
빨간색으로 표시된 박스는 데이터 게이트라고 하며 검사에서 관심있는 영역 (defect 위치)에 대한 깊이 정보를 나타냅니다.

2. B-SCAN
B-SCAN은 깊이 정보의 시각화를 위해 샘플의 수직 단면 이미지를 보여줍니다. 단일 수준의 포커스를 유지하여 스캔할 때 초점 영역에서 가장 정확한 단면 이미지를 얻을 수 있습니다.

3. C-SCAN
C-SCAN은 일반적으로 샘플의 특정 깊이에 위치한 Target layer의 2D이미지를 보여줍니다.

4. 그 외 스캔 타입
1) Surface scan
초음파는 공기 공간 유형의 결함(균열, 박리, 보이드 등에 대한 민감도가 높기 떄문에 샘플 표면 검사에서 또한 유리합니다. 결함이 위치한 영역에서 높은 대비를 보입니다.

2) Multi scan
하나의 초점거리에서 layer를 지나며 감쇠되는 양만큼 증폭시켜 여러 타겟레이어에 대해 C-SCAN이미지를 얻는것을 뜻합니다.

5. 참고링크
- A-SCAN : 링크1
- B-SCAN : 링크2
'비전 검사' 카테고리의 다른 글
| 12. 비파괴 검사 - 초음파 검사기(C-SAM)의 트랜스듀서 사양 (0) | 2024.06.01 |
|---|---|
| 11. 비파괴 검사 - 초음파 검사기(C-SAM) 트랜스듀서 구조 (0) | 2024.06.01 |
| 09. 비파괴 검사 - 초음파 검사 이미징 기 (0) | 2024.06.01 |
| 08. 광학계 - 오토포커싱 방법(액체렌즈/스테핑모터) (0) | 2024.06.01 |
| 07. 광학계 - 롤링 셔터와 글로벌 셔터의 비교 (0) | 2024.06.01 |