오늘은 초음파 트랜스듀서의 focusiong 과 resolution에 대해 알아보겠습니다.
순서는 아래와 같습니다.
1. beam 의 형상과 focusing
2. lateral resolution
3. longitudinal resolution
4. 올바른 F# 고르는 법
1. beam의 형상과 focusing

트랜스 듀서의 focusing 방법은 크게 unfocused transducer 와 focused transducer로 나뉩니다.
unfocused transducer 는 초음파 빔을 집속시켜주는 음향렌즈가 존재하지 않아 단거리 영역에서만 초음파 빔의 airy circle이 형성됩니다. 초점 상태가 유지되는 near zone 이 짧으며 일정 일정 거리 이상이 되면 초음파 빔이 분산되어 퍼지게 됩니다.
focused transducer는 unfocused transducer의 발전된 방식으로 near zone, focal zone, far zone으로 구분됩니다.
near zone은 트랜스 듀서로 부터 빔이 가장 좁은 직경에 도달할때 까지 빔 직경이 좁아지는 음향빔의 근거리 길이를 뜻합니다.
nearzone에서 빔의 직경은 트랜스 듀서 직경과 비례하며 주파수가 증가할 수록 near zone이 증가하며, 동일 주파수에서는 음향빔의 직경이 작을 수록 트랜스 듀서의 분해능이 향상됩니다.
초점 거리는 트랜스 듀서에서 초점까지의 거리이며, 원거리 영역은 초점거리 이후에 트랜트듀서로부터의 거리가 증가함에 따라 빔의 직경이 증가하는 영역을 뜻합니다. 원거리에서 빔의 발산은 빔의 직경과 주파수에 반비례하며, 트랜스 듀서의 직경이 크고 주파수가 높을수록 원거리 영역에서의 발산각은 작아집니다.


2. lateral resolution
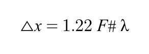
lateral resolution은 측분해능이라고도 하며, 트랜스듀서의 음량렌즈 곡률반경, 개구수, 주파수 등에 의해 결정됩니다.
pulse echo 반사법에 의한 초음파 영상은 초음파 스팟크기에 0.707 만큼을 곱해주면 영상의 측분해능을 알수있습니다.
또한 측분해능은 초음파 빔의 스팟사이즈와 비례하여 결정되는데 계산식에 대해 알아보겠습니다.

- beam 의 크기

- resolution


3. longitudinal resolution
longitudinal resolution은 축분해능이라고도 하며, 초음파 펄스의 거리 분해 능력에 따라 축방향에서 확인 가능한 물체의 최소 크기를 의미합니다.
트랜스 듀서의 측분해능은 1/2 SPL로, 초음파 펄스 1개가 진행할 때의 축방향 진행 거리로 구할 수 있습니다. 이는 트랜스 듀서가 1개의 펄스를 받아들여 분석할 수 있는 축방향 물체의 최소 크기로 생각하시면 될 것 같습니다. 측 분해능을 통해 재료의 축 방향 단면에서 검출할 수 있는 물체의 축방향 최소 크기, 최소 추출 가능한 layer 간의 간격 등에 대해 알 수 있습니다.
만약 초음파 트랜스 듀서로 다층의 layer를 추출하여 영상을 분석하고자 할 때 다층의 layer에서 균일한 분해능 및 영상품질이 유지되는지도 센서 성능에 중요한 요소가 될텐데요, 이를 결정하는 것이 심도 (depth of field) 입니다.
심도는 초점 전후로 균일한 분해능이 유지되는 구간의 거리를 뜻하며 계산식은 아래와 같습니다.



4. 올바는 F# 고르는 법
앞서 설명드린 내용과 같이 F#는 초점거리와 렌즈의 직경에 의해서 결정되는데 F#가 같고 각기 다른 렌즈 직경을 가진 트랜스듀서는 동일한 resolution을 갖습니다.
F#가 클수록 높은 resolution을 가지는 렌즈로 물체를 스캔할 때 스캔 영역의 외곽에서 영상이 유실될 가능성이 있고 심도가 낮아지기 때문에 solution에 따라 적절한 F#를 선택하는 것이 중요합니다.
- 초음파 영상 원리 : 링크2
'비전 검사' 카테고리의 다른 글
| 16. 비파괴 검사 - XRF 분석 장치 X-ray tube (0) | 2024.06.01 |
|---|---|
| 15. 비파괴 검사 - 초음파현미경(C-SAM) 주요 구성요소 (Digitizer / ADC converter) (0) | 2024.06.01 |
| 12. 비파괴 검사 - 초음파 검사기(C-SAM)의 트랜스듀서 사양 (0) | 2024.06.01 |
| 11. 비파괴 검사 - 초음파 검사기(C-SAM) 트랜스듀서 구조 (0) | 2024.06.01 |
| 10. 비파괴 검사 - 초음파 검사기(C-SAM)의 이미징 모드 (0) | 2024.06.01 |
